
I
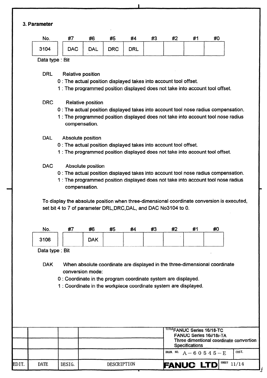
3. Parameter
No
.
#7 #6
#5
#4 #3 #2 #I #O
El:
3104
DAC DAL DRC DRL
.
Data type : Bit
DRL Relative position
0 : The actual position displayed takes into account tool offset.
1 : The programmed position displayed does not take into account tool offset.
DRC Relative position
0 : The actual position displayed takes into account tool nose radius compensation.
1 : The programmed position displayed does not take into account tool nose radius
compensation.
DAL Absolute position
0 : The actual position displayed takes into account tool offset.
1 : The programmed position displayed does not take into account tool offset.
DAC Absolute position
0 : The actual position displayed takes into account tool nose radius compensation.
1 : The programmed position displayed does not take into account tool nose radius
compensation.
To display the absolute position when three-dimensional coordinate conversion is executed,
set bit 4 to 7 of parameter DRL,DRC,DAL, and DAC No31 04 to 0.
No . #7 #6
#5
#4 #3
#2 #I
#O
El
3106
DAK
Data type : Bit
DAK When absolute coordinate are displayed in the three-dimensional coordinate
conversion mode:
0 : Coordinate in the program coordinate system are displayed.
1 : Coordinate in the workpiece coordinate system are displayed.
TITLEFANUC Series 16/I 8-TC
FANUC Series 16ill8i-TA
Three dimentional coordinate convertion
Specifications
DRAW. NO.
A-60545-E
CUST.
3DIT. DATE
DESK. DESCRIPTION
FANUC L"'D SHEET 11/14
I