
(2)
Control statement (.#LS file)
The .#LS file is a MS-DOS text file in which the source programs to be combined are coded in
the order in which they are combined. See the following example.
Sample control statement (File name = MAIN.#LS)
~
Parameters, symbols, comments, the title, and other data, except data for the ladder, from the
first program are used for the second and later programs.
(3)
Advantages
APPENDIX 4 MODULAR PROGRAMMING
(PMC-RA3/RB3/RC3 ONLY)
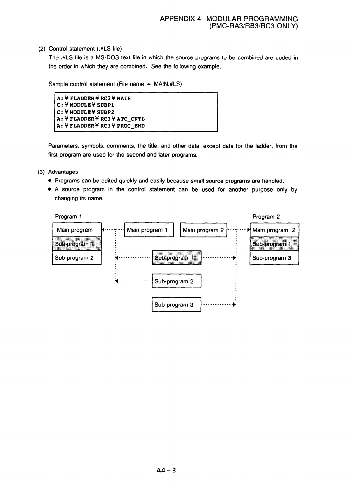
0 Programs can be edited quickly and easily because small source programs are handled.
0 A source program in the control statement can be used for another purpose only by
changing its name.
Program 1
Program 2
ESub-program . . . . . . . . . . . . . . . . . .
A4-3