
5. OPERATION
attempt is rejected.
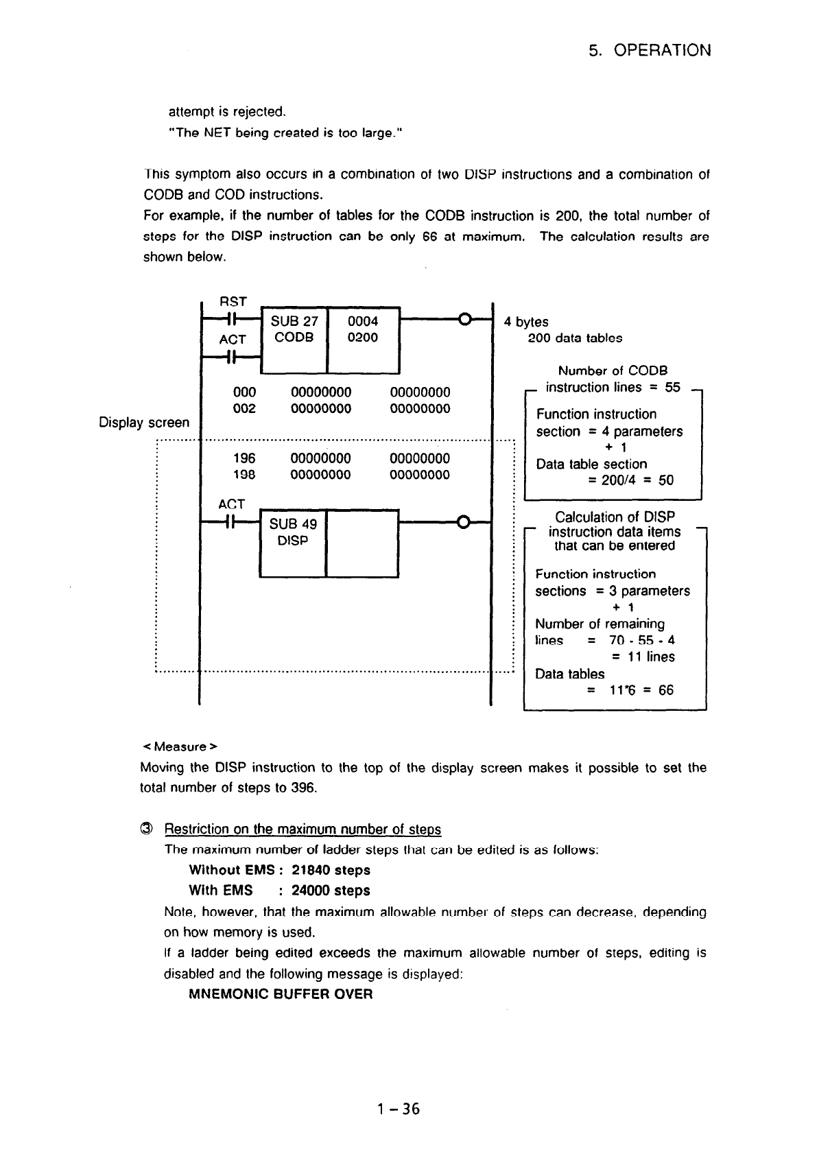
“The NET being created is too large.”
This symptom also occurs in a combination of two DISP instructions and a combination of
CODB and COD instructions.
For example, if the number of tables for the CODB instruction is 200, the total number of
steps for the DISP instruction can be only 66 at maximum. The calculation results are
shown below.
Display screen
. . . . . . . . . .
FIST
-II-
ACT
-II-
000 00000000 00000000
002
00000000
00000000
. . . . . . . . . . . . . . . . . . . . . . . . . . . . . . . . . . . . . . . . . . . . . . . . . . . . . . . . . . . . . . . . . . . .
196 00000000
00000000
198 00000000
00000000
. . . . . . . . . . . . . . . . . . . . . . . . . . . . . . . . . . . . . . . . . . . . . . . . . . . . . . . . . . . . . . . . . . . .
4 bytes
200 data tables
.
. .
I[
. . .
Number of CODB
_ instruction lines = 55
Function instruction
section
= 4 parameters
+ 1
Data table section
= 20014 = 50
Calculation of DISP
- instruction data items -
that can be entered
Function instruction
sections
= 3 parameters
+ 1
Number of remaining
lines
= 70 - 55 - 4
= 11 lines
Data tables
= 11%=66
< Measure >
Moving the DISP instruction to the top of the display screen makes it possible to set the
total number of steps to 396.
8 Restriction on the maximum number of steps
The maximum number of ladder steps that can be edited is as follows:
Without EMS : 21840 steps
With EMS : 24000 steps
Note, however, that the maximum allowable number of steps can decrease, depending
on how memory is used.
If a ladder being edited exceeds the maximum allowable number of steps, editing is
disabled and the following message is displayed:
MNEMONIC BUFFER OVER
l-36